综合新闻

当前位置: 安博体育平台中国有限公司, > 正文 > 

理学院孙婷婷教授团队在高水平期刊上发表研究论文

供稿单位 :       发布时间 : 2022-09-21 13:52

近日,理学院应用物理系孙婷婷教授团队在RNA共转录折叠动力学的研究方面取得重要进展,并在《International Journal of Biological Macromolecules》(中科院一区TOP期刊,IF:8.023)上发表了题为“Effect of pausing on the cotranscriptional folding kinetics of RNAs”的研究论文(点击阅读论文)。该论文以浙江科技学院为第一署名单位,应用物理系21级硕士研究生王康为第一作者,孙婷婷教授为论文通讯作者。

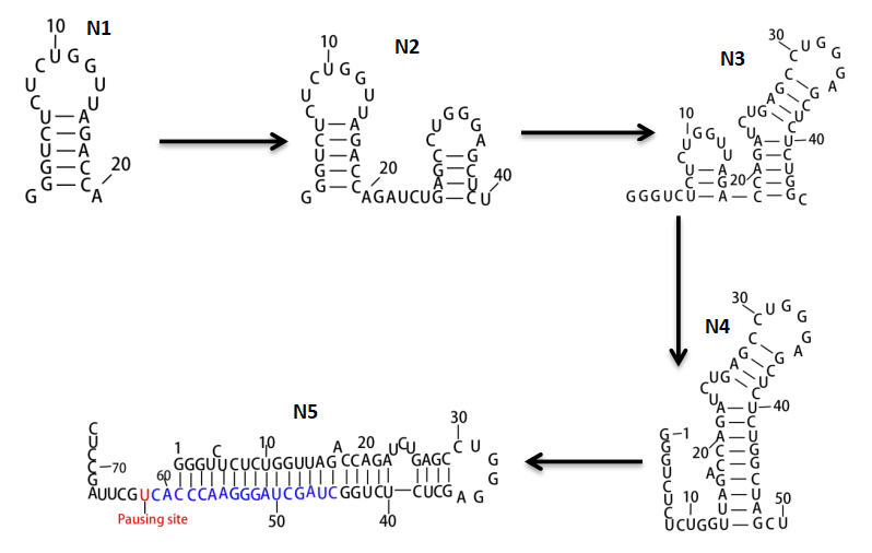
该工作揭示了停顿事件与转录速度相互作用对RNA共转录折叠动力学控制的策略,给出了E.coli SRP RNA和HIV-1 TAR RNA的主要折叠路径,以及预测了HIV-1 TAR RNA可能存在的停顿点。通过研究发现,不同的RNA在共转录折叠时对转录速度有不同的偏好。例如117-nucleotide E.coli SRP RNA在较高的转录速度下不利于Native structure结构的形成,但通过转录停顿事件,能挽救Native structure结构的形成。结果表明:停顿事件与转录速度形成互补事件,共同促进RNA共转录折叠,以保证RNA转录折叠为正确的RNA结构,促进生物细胞完成其正常的生理功能。该工作为RNA共转录折叠动力学提供了一套理论基础,同时揭示了停顿对RNA共转录折叠的重要影响。(理学院 黄 喆)


        



A.coli SRP RNA折叠路径                 HIV-1 TAR RNA折叠路径  



E.coli SRP RNA折叠过程结构的Population


联系我们

地址:浙江省杭州市西湖区留和路318号

邮编:310023

友情链接

 Copyright © 2022 安博体育平台中国有限公司,  All Rights Reserved    浙ICP备11051284号   浙公网安备 33010602010616号

Copyright © 2022 安博体育平台中国有限公司, All Rights Reserved
浙ICP备11051284号 浙公网安备 33010602010616号